Основы измерений в электронике. Часть 1

Основы измерений в электронике. Часть 1
Автор: Академия Суперайс
2.3K

Контрольно-измерительные приборы и оборудование — это «глаза и уши» метрологии, служащие науке и всем отраслям техники, медицины и почти каждой области человеческой занятости. Знание любого параметра технической системы зависит от результата его измерения. Достоверно любой параметр определяют замерами. Они нужны для мониторинга какого-либо технологического процесса (операции) и для управления. Например, термометры, барометры, анемометры используются для определения условий среды. Аналогичным образом, счётчики воды, газа и электрической энергии отслеживают количество потреблённых ресурсов. В электротехнике и электронике измерение параметров электрической цепи: напряжения или сила тока, выполняют вольтметрами, амперметрами различных конструкций.

Статья посвящена основам измерений в электротехнике и электронике: будут приведены базовые определения, рассмотрены разные типы погрешностей и базовые способы борьбы с ними, предложен краткий обзор КИП, методов калибровки.

Время чтения: 24 минуты

Измерение в электронике? Это очень просто!
прибор авометр
Комбинированный ИП (авометр) Ц4353 времён СССР — прадедушка нынешних мультиметров. Название «авометр» было сокращением от списка поддерживаемых электрических величин, а именно «ампер/вольт/ом». Но даже в Советском Союзе его так не называли: он известен под именем «цешка», образованном первой литерой в маркировке

Вне зависимости от параметра и отрасли, всегда возможен подбор метода и соответствующего ему контрольно-измерительного прибора (КИП). Разумный выбор и применение оборудования зависят от знаний: что применимо сейчас, и какие характеристики и возможности производитель закладывает в продукцию. Но есть основные методы и соответствующие им измерительные приборы (ИП), несмотря на моральное устаревание, ещё полезные и продолжающие широко использоваться.

Классика: ртутный термометр для определения температуры тела или стрелочный вольтметр — для напряжения. Но всегда существует запросы на улучшение и создание нового оборудования для задач, становящиеся всё строже и сложнее.

Главная проблема, влияющая на точность — погрешность. Поэтому, очевидно, потребуется найти метод, КИП и создать условия, вместе её минимизирующие. Чтобы избежать погрешностей в любой экспериментальной работе, нужно тщательное планирование, соблюдение хода выполнение эксперимента и оценка его результатов. Важное условие любого измерения — чтобы ИП не влиял на величину; на практике принцип невмешательства строго не соблюдается. Вернее, практически на 100% его невозможно соблюсти. Но есть способы минимизировать и привести результат в рамки достаточной и требуемой точности.

Базовые определения

Измерительный прибор (система) предназначен для получения и предоставления информации о физической величине некоторой замеряемой переменной. Простой ИП, бывает, состоит только из одного функционального блока, непосредственно предоставляющего показание. К примеру, ртутный термометр. Более сложные модели, вернее, измерительные системы, сделаны из нескольких функциональных блоков.

схемы простых измерительных приборов

Компоненты такой системы выполняют как в виде отдельных приборов, как дистанцированных друг от друга на значительное расстояние, так и собранных в виде одного компактного. Выходит, почти каждый современный ИП — сложный, состоящий из нескольких блоков.

Статические характеристики ИП, как правило, рассматриваются в пределах измерительного процесса при неизменных условиях. Их качественное и количественное значение формируется в том или ином виде при процессе, называемом калибровкой. Для всех КИП существует ряд связанных базовых определений (или по-другому, характеристик): точность, повторяемость, разрешение, погрешность, чувствительность и т. д. Рассмотрим наиболее важные из них:

  • Точность. Это есть степень близости результата по сравнению с действительными знаниями.
  • Повторяемость (сходимость). Это есть мера согласованности. Другими словами, низкая степень различия результатов серии измерений.
  • Разрешение. Разрешением называют наименьшее изменение величины, на которое отреагирует ИП.
  • Ожидаемое значение. Это проектное, то есть наиболее вероятное, ожидаемое показание от КИП с учётом метода замеров, конструкции и других факторов.
  • Погрешность. Это степень отклонения от ожидаемого результата. Как наиболее важная характеристика, она будет рассмотрена отдельно в следующей главе.
  • Чувствительность. Это отношение изменения выходного значения (реакции) к изменяемому входному или замеряемой величины.

Теперь разберём определения немного подробнее.

Точность

Это мера того, насколько близко показание к действительному итогу. На практике более привычно указывать величину погрешности, а не точности. Погрешность — это степень «неверности» показаний. Она, как правило, указывается в процентах от полной шкалы. Если, к примеру, вольтметр с диапазоном 0÷10 вольт имеет указанную погрешность ±1.0%, то максимальная ожидаемая в любой части шкалы составляет 0.1 вольта. Это означает, что когда прибор показывает 1.0 вольта, вероятная ошибка — целых 10%. Важное правило проектирования системы — ИП подбирают так, чтобы их диапазон соответствовал разбросу проверяемых значений, чтобы поддерживать максимальную точность устройства. Таким образом, если измерять напряжение с ожиданием между 0 и 1 вольт, не стоит использовать модель с диапазоном 0÷10 вольт.

Повторяемость (сходимость, прецизионность)

Термин описывает степень свободы от случайных ошибок. Если множество показаний одной величины снимаются с высокой повторяемостью, то разброс будет небольшим. Повторяемость часто, хотя и неправильно, путают с точностью. Высокая степень повторяемости ничего не говорит о высокоточности (близости к действительному значению). Прибор с высокой повторяемостью иногда неточен. Она обычно вызвана смещением в шкале, устранимым повторной калибровкой. Термины «повторяемость» и «прецизионность» означают примерно одно, но применяются в разных контекстах, как будет сказано ниже:

  • Повторяемость — близость значений серии результатов измерения, проведённых повторно в течение короткого периода, с теми же условиями, инструментом и наблюдателем, местоположением и условиями использования, постоянно поддерживаемыми.
  • Прецизионность — близость итогов серии замеров для одного ввода, когда есть изменения в методе, наблюдателе, измерителе, местоположении, условиях использования и времени.

Термин описывает степень свободы от случайных ошибок. Если множество показаний одной величины Таким образом, оба термина описывают разброс выходных показаний для одного вида измерений. Он называется повторяемостью, если условия замеров постоянны, и прецизионностью, если они изменяются. Степень повторяемости или прецизионности измерений с помощью КИП является альтернативным способом выражения его точности. Рисунок наглядно это иллюстрирует.

точность кип

На рисунке показаны результаты испытаний четырёх промышленных станков, используемых для размещения электронных компонентов в определённой точке на печатной плате. Целевая точка находилась в центре показанных концентрических кругов, а чёрные точки представляют собой места, где каждый станок фактически размещал компоненты при каждой попытке.

В этом испытании отражено, что как точность, так и повторяемость станка №1 низкие. Станок №2 последовательно помещает компонент примерно в то же место, но это неправильная точка. Поэтому у него высокая повторяемость, но он неточный. Станок №3 высокоточен, но с низкой повторяемостью. Наконец, у станка №4 есть как высокая точность, так и повторяемость, потому что он последовательно помещает компонент в правильное целевое положение.

Допуск

Это термин, тесно связанный с точностью и определяющий максимальную погрешность, ожидаемую при определённом значении. Хотя допуск — не статическая характеристика; он упоминается здесь, потому что точность части измерителей иногда указывается как показатель допуска. В правильном описании допуск представляет собой максимальное отклонение изготовленного компонента или узла от некоторого определённого конструктором значения. Например, коленчатые валы обрабатываются с допуском диаметров, указанным как определённое количество микрон. А компоненты электрической цепи, такие как резисторы, имеют допуск на сопротивление, к примеру, 1, 5 или 10% (смотри статью «Как измерить резистор мультиметром?»). Один резистор, выбранный наугад из партии с номиналом 1000 Ом и допуском 5%, в действительности где-то между 950 Ом и 1050 Ом.

Диапазон измерения

Он определяет минимальные и максимальные величины, замеряемые прибором. К примеру, у мультиметров он задаётся положением переключателя режимов.

предел измерений мультиметра
Диапазон мультиметра при выбранном положении переключателя режимов составляет 0÷2000 Ом

Линейность

Обычно желательно, чтобы выходное показание прибора-измерителя было линейно пропорционально измеряемой величине. График на рисунке ниже, показывает типичные выходные данные, когда к нему применяется последовательно увеличивающееся (уменьшающееся) входное воздействие.

измерение линейности

Обычная процедура определения линейности заключается в проведении подходящей прямой линии, как на рисунке. Затем нелинейность определяется как максимальное отклонение любого из выходных показаний, отложенных на оси X, от этой прямой линии. Нелинейность обычно выражается в процентах от полной шкалы.

Чувствительность

Это мера изменения выходного сигнала, применяющаяся, когда проверяемая величина изменяется на заданное значение. Таким образом, чувствительность — это отношение отклонения шкалы и значения величины, его производящее.

Чувствительность — это наклон прямой линии, проведённой на рисунке выше. Если, например, при напряжении в 2 вольта стрелка вольтметра отклоняется на 10 градусов, то чувствительность ИП 5 градусов/вольт (предполагая, что отклонение равно нулю при нулевом напряжении).

Пороговое значение

Если входной сигнал (входное воздействие) КИП постепенно увеличивается от нуля, то каждому нужно достичь определённого минимального уровня, прежде чем прибор его обнаружит. Этот минимальный уровень называется пороговым значением.

Производители по-разному указывают порог. Некоторые отражают абсолютные значения, в то время как другие указывают его в процентах от показаний полной шкалы. В качестве иллюстрации, автомобильный стрелочный спидометр обычно имеет порог около 5 км/ч. Это означает, что если транспорт трогается с места и ускоряется, стрелка спидометра не шевелится, пока скорость не достигнет 5 км/ч.

Разрешение

Когда прибор демонстрирует определённое показание, существует нижний предел изменения входной величины (воздействия). Подобно порогу, разрешение иногда указывается как абсолютное значение, а часто — как процент отклонения полной шкалы. Фактором, влияющим на разрешение, является то, насколько тонко его выходная шкала разделена на деления в случае аналоговых стрелочных ИП или какую «битность» имеют аналогово-цифровые преобразователи (смотри статью «ТОП-10 узлов в схемотехнике цифровых устройств») цифровых КИП.

Если снова использовать автомобильный спидометр в качестве примера, то он имеет деления, как правило, по 10 км/ч. Это означает, что когда стрелка находится между отметками шкалы, мы достоверно не оценим скорость точнее, чем до 5 км/ч. Таким образом, эта цифра представляет собой разрешение КИП.

Чувствительность к внешним условиям

Все калибровки и спецификации, обозначенные производителем, действительны только при контролируемых условиях температуры окружающего воздуха, атмосферного давления, влажности и т. д. Эти стандартные условия среды обычно и определяются в спецификации. При изменении температуры и/или других условий, изменяются определённые статические характеристики, а чувствительность является мерой величины этого изменения. Такие изменения среды влияют двумя основными способами, известными как дрейф нуля/чувствительности.

Дрейф нуля (ДН) нередко называют альтернативным термином «смещение нуля». Он описывает эффект, когда нулевое значение меняется из-за смены условий окружения. Это вызывает постоянную погрешность, существующую во всём диапазоне. Обычно устраняется путём калибровки. Почти все ИП поддерживают его устранение тем или иным способом: механическим или электронным. ДН также часто встречается в таких измерителях, как вольтметры и амперметры, чувствительные к температуре окружения.

Типичные единицы измерения ДН: милливольт/°C или миллиампер/°C. Их часто называют коэффициентом ДН, связанным с изменением температуры. Если характеристика чувствительна к нескольким параметрам среды, то у него будет несколько соотносимых с ними ДН-коэффициентов.

чувствительность кип

Типичное изменение выходной характеристики, подверженного ДН, показано на рисунке (изображение A).

Дрейф чувствительности (ДЧ, также известный как дрейф коэффициента масштабирования) определяет, насколько изменяется чувствительность КИП при изменении условий окружающей среды. Он количественно определяется коэффициентами ДЧ, определяющими, какой дрейф происходит для единичного изменения каждого параметра окружения, к которому чувствительны характеристики.

Многие компоненты внутри прибора подвержены влиянию колебаний характеристик среды, таких как изменения температуры: например, модуль упругости пружины сильно зависит от терморежима. На изображении B отражено, какое влияние ДЧ оказывает на выходную характеристику КИП. Он измеряется в единицах замеряемой величины/°C. Если прибор одновременно испытывает как ДН, так и ДЧ, то смотрите изображение C.

Гистерезис

Рисунок ниже иллюстрирует выходную характеристику прибора с определённым гистерезисом. Если входная измеряемого воздействия постоянно увеличивается от отрицательного значения, показание изменяется так, как на кривой A. А когда уменьшается, показание изменяется так, как на кривой B.

кривая гистерезиса

Несовпадение кривых «нагрузки» и «разгрузки» известно как гистерезис.

Определяются две величины: максимальное входное и выходное значение гистерезиса, как на рисунке. Они обе обычно выражаются в процентах от полномасштабного входного или выходного показания соответственно.

Гистерезис часто встречается в моделях, содержащих пружины, таких как манометр, вольтметр и амперметр электромагнитной и магнитоэлектрической системы и т. д. Гистерезис также очевиден, когда силы трения в системе имеют разные величины в зависимости от направления движения, например, в механических весах.

Гистерезис также возникает в устройствах с электрическими обмотками вокруг железного сердечника, из-за явления магнитного гистерезиса в их материале. Это явление происходит в индуктивном датчике перемещения, линейном дифференциальном и вращающемся дифференциальном измерительном трансформаторе.

«Мёртвая зона»

Определяется как диапазон разных входных значений, где нет изменений в выходном. В любом измерителе, проявляющем гистерезис, также проявляется эффект, как на рисунке выше. Кто не страдает от какого-либо значительного гистерезиса, всё равно порой демонстрируют «мёртвую зону» в своих выходных характеристиках.

Люфт в шестернях или любых других механических передачах, подшипниках и иных конструктивных элементов — типичная причина явления. Он обычно возникает в зубчатых передачах, используемых для преобразования между поступательным и вращательным движением, к примеру, в механических манометрах, термометрах, барометрах и т. п.

Статические погрешности

вольтметр шкала прибора
Шкала стрелочного вольтметра. Хорошо видна нелинейность (неравномерность) шкалы, а также отсутствие градуировки в диапазоне 0÷60 вольт, так как он имеет высокую погрешность в этом диапазоне

Это численная разность между действительным (истинным) значением величины и её расчётами, полученными путём замеров; то есть повторные замеры дают разные показания. Она делится на грубые из-за человеческого фактора, систематические и случайные погрешности.

Грубые погрешности

В основном возникают из-за человеческих ошибок при эксплуатации КИП или снятии показаний. Ещё появляются из-за неправильной настройки и вычислительных ошибок. Их невозможно учесть и каким-то образом математически скомпенсировать. Полное устранение невозможно, но есть вариант минимизировать. Некоторые легко обнаружить, в то время как другие бывают чрезвычайно неуловимыми. Одной из основных грубых погрешностей, часто происходящих, является неправильное использование прибора, то есть ошибка в эксплуатации.

Их минимизируют, проявив осторожность при снятии (чтении) и регистрации (записи) параметров. Также нужно учитывать конструктив измерителя и его влияние. К примеру, подключение осциллографа к кварцевому резонатору иногда приводит к изменению частоты его работы или вовсе к срыву генерации при использовании некоторых видов ИП и щупов к ним.

Систематические погрешности

Возникают из-за недостатков измерителей, таких как неисправность или износ детали, старение материалов или воздействие окружающей среды. Их называют смещением, ведь они в одинаковой степени влияют на все измерения. Например, это постоянное равномерное отклонение работы прибора. Существует три основных типа:

  • Инструментальные.
  • Под влиянием среды.
  • Систематические погрешности наблюдения.

Инструментальные

Они присущи многим видам КИП. Особенно ярко проявляются на механических и электромеханических версиях, например, при движении трение в подшипниках различных подвижных компонентов, неравномерное натяжение пружины, растяжение пружины или уменьшение натяжения из-за неправильной эксплуатации или перегрузки прибора. Их исключают путём выбора наиболее подходящего КИП для конкретной задачи, применения поправочных коэффициентов после определения величины, а также регулярной калибровки.

Под влиянием среды

Они возникают из-за внешних относительно устройства-измерителя условий. Те, что в области прибора: влияние изменения температуры, влажности, барометрического давления или магнитных или электростатических полей. Их минимизируют кондиционированием воздуха и поддержанием постоянной влажности, герметизации «капризных» компонентов и использованием электромагнитных экранов.

Систематические погрешности наблюдения

Они вносятся наблюдателем. Распространённая — ошибка снятия показания из-за эффекта параллакса, вносящего искажение восприятия при считывании показаний шкалы стрелочных приборов, и ошибка оценки при их получении.

Такие ошибки вызваны привычками и особенностями конкретного наблюдателя (оператора). К примеру, наблюдатель способен внести ошибку, постоянно держа голову далеко влево при считывании показаний стрелочного вольтметра.

Ещё они делятся на статические и динамические. Первые вызваны ограничениями корректной модели или физическими законами, управляющими её поведением. Вторые — тем, что прибор не реагирует достаточно быстро, чтобы отслеживать изменение.

Погрешности измерения

Измерение — это процесс сравнения неизвестной величины с принятой за эталон. Процесс включает в себя присоединение (подключение) измерителя-прибора к рассматриваемой системе и наблюдение за полученным откликом. Полученный так результат — количественная мера так называемого «истинного» или «действительного» показания (невероятно трудно определить истинное/действительное, используется термин «ожидаемое»).

На любое измерение влияет много факторов; результат редко совпадает с ожидаемым. К примеру, подключение к рассматриваемой схеме всегда нарушает (изменяет) схему, в результате чего результат отличается от ожидаемого. Некоторые факторы, влияющие на измерение, связаны с самими ИП. Другие факторы связаны с человеком, использующим их.

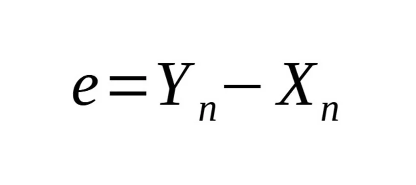
Степень, в которой результат приближается к ожидаемому, определяется совокупной величиной различных видов погрешностей. Она выражается либо как абсолютная величина, либо в виде процента. Абсолютная определяется как разница между ожидаемым значением величины и измеренным:

формула погрешности кип

, где e — абсолютное число погрешности; Yn — ожидаемое значение; Xn — измеренное значение.

Как процент она определяется по формуле:

погрешность в процентах формула

, где e% — процентное выражение погрешности;

или по формуле:

процент погрешности

Случайные (неопределённые) погрешности

Это те, что возникают по причинам, которые невозможно установить напрямую из-за случайных изменений внутренних или внешних параметров измерительной системы. Следовательно, контролировать их практически нельзя. Их случайная природа приводит к тому, что способом борьбы является лишь усреднение множества результатов замеров. Другими словами, они компенсируются статистическими математическими методами. Даже простейший мультиметр за небольшое время делает множество электротехнических измерений, усредняет показания и выводит на дисплей.

Статистический анализ погрешностей

Это обычная практика, поскольку позволяет аналитически определить неопределённость окончательного результата измерения. Его предсказывают на основе выборочных данных без подробной информации обо всех негативно влияющих факторах. Чтобы сделать работу статистических методов и интерпретации результатов осмысленными, обычно требуется много замеров.

Кроме того, систематические погрешности, рассмотренные выше, бывают небольшими по сравнению с остаточными или случайными ошибками, поскольку статистическая обработка данных не устраняет фиксированное смещение, содержащееся во всех измерениях.

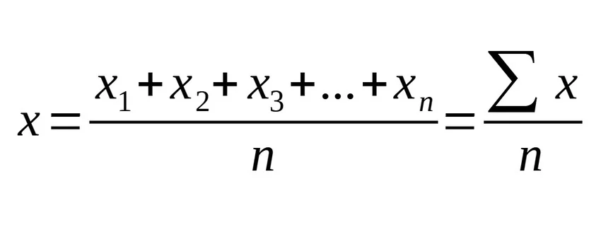
Среднее арифметическое

Математически вероятное значение переменной — это среднее арифметическое всех полученных показаний. Наилучшее приближение будет получено, когда число показаний одной величины велико. Теоретически бесконечное число показаний даст наилучший (практически наиболее близкий к истинному) результат, хотя на практике доступно только конечное число измерений. Среднее арифметическое определяется по формуле:

среднее арифметическое

Отклонение от среднего значения

Часто бывает полезно иметь о нём некоторое представление. Это разность конкретного показания от арифметического среднего значения серии измерений. Если отклонение от среднего значения x1 назовём d1, а второго x2 — d2 и т. д., то усреднённые показатели выражаются как:

отклонение среднего значения
Отклонение бывает положительное или отрицательное, а их алгебраическая сумма равняется нулю

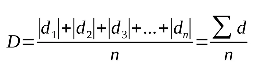
Среднее отклонение

Это показатель точности, используемых при замерах. Высокоточные ИП дают низкое среднее отклонение между показаниями. Оно определяется как сумма абсолютных значений отклонений, делённых на общее количество показаний. Абсолютное — значит, без учёта знака.

Выражается это так:

среднее отклонение

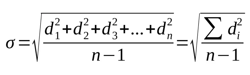
Стандартное отклонение

Определённый диапазон — важный параметр. Он ограничивает значение сверху и снизу среднего на какую-то величину. Результаты, больше всего удалённые от среднего, безболезненно удаляются из набора сведений без ущерба для точности.

Однако он не даст большого представления о разбросе показаний относительно среднего значения. Вот где и вступает в дело стандартное отклонение (СО). В статистическом анализе случайных ошибок среднеквадратичное или СО является ценнейшим вспомогательным аналитическим средством, повышающим точность.

СО σ конечного числа показаний численно равно квадратному корню из суммы квадратов всех индивидуальных отклонений, делённому на количество показаний минус один. В виде формулы выражается вот так:

стандартное отклонения

Другое выражение для величины — это дисперсия или среднеквадратическое отклонение. Близко к стандартному, но квадратный корень не извлекается. Дисперсия — удобная величина для использования во многих вычислениях, поскольку складывается между собой. Однако СО имеет то преимущество, так как оно имеет те же единицы, что и переменная, что позволяет легко сравнивать величины. Большинство научных результатов теперь выражаются именно в терминах СО.

Продолжение статьи читайте здесь.

Без измерения каких-то величин, будь то температура воздуха на улице, расстояние между объектами или напряжение в питающей сети сегодня прожить легко: практически любой механический, электромеханический или электронный прибор имеет внутри себя цепи измерения. Из-за этого замеры выполняются как с невысокой, но достаточной точностью или, наоборот, с высочайшей или максимально доступной.

Главной проблемой, приводящей к снижению точности, являются погрешности, а их бывает много разных видов. И задача её повышения состоит в борьбе с ними.

Есть расхожая фраза, что на войне все средства хороши. Так и в борьбе с погрешностями применяют все методы, как организационные, как технические, так и математические.


Понравилась статья? Поделитесь ей в ваших социальных сетях:
Электрические принципиальные схемы: что это и зачем
Принципиальная схема — это язык электроники, без которого не обойтись ни в ремонте, ни в разработке устройств. Разбираемся, как её читать, понимать логику и видеть структуру прибора.
Электрические принципиальные схемы: что это и зачем 1.4K
Электрические принципиальные схемы: что это и зачем
Чтение электрических схем: условные обозначения
Полный гид по условным обозначениям в электронике — учимся понимать язык принципиальных схем.
Чтение электрических схем: условные обозначения 2.5K
Чтение электрических схем: условные обозначения
Диагностика протоколов в электронике 2026: новые интерфейсы и инструменты инженера
Как изменились протоколы к 2026 году и как теперь их диагностировать информация с статье магазина Суперайс
Диагностика протоколов в электронике 2026: новые интерфейсы и инструменты инженера 269
Диагностика протоколов в электронике 2026: новые интерфейсы и инструменты инженера