Импульсные источники питания без гальванической развязки
Импульсные источники питания (ИИП) без гальванической развязки представляют собой базовые электросхемы, в которых внимание уделяется минимизации числа активных и пассивных компонентов при сохранении энергоэффективности энергопреобразования. Они гораздо меньше трансформаторных БП, при этом энергоэффективнее, миниатюрнее, легче. Их схемотехнику легко адаптировать к требуемым характеристикам нагрузки и электропитания. Универсальность делает импульсники фундаментом для множества специализированных применений в современной электронике.
Разработка топологий без гальваноразвязки опирается на классические принципы работы импульсных преобразователей, где накопительный дроссель, конденсатор, транзистор и диод составляют минимальный набор компонентов для формирования требуемых электрических сигналов. Основываясь на законе Фарадея и принципах фильтрации LC-фильтра, схемы гарантируют стабильность и равномерность параметров на выходе даже при пульсирующем токе. Такой подход позволяет не только даёт требуемую мощность и низкий уровень пульсаций, но и минимизировать затраты на компоненты, что важно при массовом выпуске устройств.
Большинство топологий, используемых в современных ИИП, вытекают от базовых: понижающей, повышающей и инвертирующей. Они простые из всех возможных и имеют наименьшее количество электронных компонентов, и источник ШИМ-управления, в качестве которого выступает внутренний или внешний генератор, специализированная микросхема-драйвер и так далее.
Время чтения: 11 минут
Понижающие ИИП
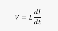
Топологии, например прямоходовых ИП, включая двухтактную и мостовую (будут рассмотрены ниже), основана на понижающем ИИП. Принцип работы прост. Когда ключ TR1 (биполярный или MOSFET-транзистор) включён, входное напряжение Vi через накопительный дроссель L1 поступает на выход Vo. Диод D1 закрыт, так как катод через ключ подключён к положительному выводу питающей установки. Ток в дросселе нарастает в соответствии с законом Фарадея, показанным ниже:

Когда ключ TR1 выключен, напряжение на дросселе меняется на противоположное, и диод D1 становится смещённым в прямом направлении — открывается. Это позволяет энергии, накопленной в дросселе, поступать на выход; пульсации тока сглаживаются выходным конденсатором Co.

LC-фильтр L1Co усредняет пульсации, создавая плавное выходное напряжение и равномерный ток. Среднее значение В/сек на дросселе за полный цикл переключения равняется нулю в установившемся состоянии (это относится к остальным топологиям, которые рассмотрим далее).
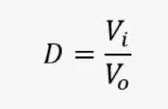
Пренебрегая потерями в цепи, среднее напряжение на входной (левой по схеме) стороне дросселя L1 равно ViD; V0 — на стороне выхода (правой). Таким образом, чтобы на дросселе оно сравнялось нулю в установившемся режиме, уравнение постоянного тока выглядит так:

где D — рабочий цикл транзисторного ключа, значение которого определяется как частное времени во включённом состоянии к общей длительности периода:

Таким образом, понижающий ИИП им и является, поскольку значение рабочего цикла D всегда строго меньше единицы (время во включённом состоянии не сможет быть больше общего времени периода). Напряжение на выходе и его стабилизация регулируются путём изменения рабочего цикла ключа. Фильтр нижних частот L1Co сверхэффективно фильтрует ток дросселя. Следовательно, топология и её производные имеют очень низкие пульсации.
Понижающий ИИП обычно всегда работает в непрерывном режиме (ток дросселя никогда не падает до нуля), где пиковые токи ниже, а требования к фильтрующему конденсатору лояльнее. Топология также не имеет серьёзных проблем в плане стабильности управления.
Ознакомиться самостоятельно с принципом его работы вы можете с помощью интерактивной электронной модели.
Повышающие ИИП
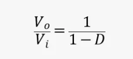
Принцип работы чуть сложнее, чем у понижающего, но достаточно прост. Когда ключ TR1 включён, диод D1 смещён в обратном направлении — закрыт, и напряжение Vi проходит только через дроссель L1, в котором накапливается энергия. Ток в дросселе нарастает до пикового значения, либо от нуля (в прерывистом режиме), либо от начального значения (в непрерывном). Когда ключ TR1 выключается, напряжение на дросселе L1 меняет полярность, диод D1 открывается. Диод-D1 проводит сквозь себя энергию, накопленную в дросселе, которая складывается с той, что поступает напрямую от ИП к сглаживающему конденсатору Co и далее к нагрузке. Из схемотехники следует, что Vo всегда больше Vi, что делает его повышающим преобразователем. При работе в непрерывном режиме уравнение выглядит следующим образом:

Опять же, выходящее напряжение зависит только от его значения на входе и рабочего цикла D. Таким образом, контролируя рабочий цикл, достигается регулировка и стабилизация. Из осциллограмм ясно, что ток, поступающий на выходной сглаживающий конденсатор Co, является током диода, который всегда прерывистый. Это означает, что его ёмкость относительно большая, а эквивалентное последовательное сопротивление (ЭПС, ESR) нужно очень низкое, чтобы обеспечить приемлемо низкий уровень пульсаций на выходе.
Понижающий ИИП не имеет столь высоких требований к выходному конденсатору. С другой стороны, входной ток для дросселя непрерывный, и это обеспечивает снижение пульсации входного тока.

Повышающие ИИП очень часто применяются для электропитания высоковольтных ёмкостных нагрузок, таких как фотовспышки и для зарядки аккумуляторных батарей. Кроме того, непрерывная характеристика входного тока делает их популярным выбором в качестве предварительного БП, запитывающего основной источник электропитания: его функции заключаются в пре-регулировке напряжения и снижения пульсаций по входу.
Если повышающий ИИП используется в прерывистом режиме, пиковые токи транзистора и диода будут выше, и выходной конденсатор должен иметь вдвое бо́льшую ёмкость, чтобы выход пульсировал минимально. В прерывистом режиме работы выдаваемое напряжение становится сильно зависимым от сопротивления нагрузки, что приводит к ухудшению стабильности его цепей регулировки.
К сожалению, существуют серьёзные сложности управления при такой работе. Псевдо LC-фильтр фактически вызывает сложную характеристику второго порядка даже при малом изменении управляющего сигнала. В прерывистом же режиме энергия в дросселе в начале каждого цикла равна нулю: из-за этого он исключается из цепи отклика, оставляя в ней только выходной конденсатор. Это даёт гораздо более простой отклик, который гораздо легче контролировать.
Как работает повышающий ИИП, посмотрите на интерактивной электронной модели.
Инвертирующие ИИП
Очень распространённая топология обратноходового ИИП (будет рассмотрен в следующем разделе) на самом деле не является производным исключительно от повышающего ИП. Он работает только за счёт энергии, накопленной в дросселе при закрытом ключе. Однако повышающий ИИП также непосредственно подаёт энергию со входа на выход. Обратноходовой фактически основан на объединённой топологии предыдущих двух, называемой повышающе-понижающим ИИП или инвертирующим ИП.

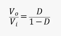
Когда ключ TR1 включён, диод закрыт, а к входу подключён лишь дроссель L1 как накопитель электроэнергии. При выключении ключа он меняет напряжение на противоположное, и накопленная энергия затем поступает на выходной конденсатор Co и нагрузку через открытый выпрямительный диод D1. Осциллограммы инвертирующего ИИП похожи на таковые у повышающего, за исключением того, что максимальное напряжение на ключе теперь больше и равно сумме Vi и Vo. Очевидно, что входной и выходной токи прерывисты. Также, что очень важно, происходит инверсия полярности: выдаваемое напряжение отрицательно по отношению к получаемому. Матанализ показывает, что уравнение передачи непрерывного абсолютного значения постоянного тока выглядит так:

А анализ работы схемы показывает, что значение коэффициента заполнения ключа D выбирают так, чтобы выход был либо выше, либо ниже входа. Это даёт инвертору определённую гибкость: вход бывает как ниже, так и выше выходного, поддерживая широкий диапазон питающих значений.
Инвертирующий ИИП также страдает от аналогичных проблем стабильности управления в непрерывном режиме, что и повышающий ИИП, а прерывистый режим работы обычно является предпочтительным. Поскольку и входной, и выходной токи пульсируют, очень трудно достичь низких уровней пульсации инвертирующего ИИП.
Требуется применение конденсаторов очень большой ёмкости в выходном фильтре; обычно до 8 раз больше, чем у понижающего ИИП. Транзисторный ключ также должен быть способен пропускать высокий пиковый ток, и быть способным к более высокому напряжению коллектор-эмиттер или сток-исток. Топология обратноходового ИИП создаёт наибольшую нагрузку на транзисторный ключ. Выпрямительный диод также должен выдерживать высокие пиковые токи, поэтому среднеквадратичные потери мощности будут выше, чем у понижающего ИП.
Схема его работы есть в интерактивной электронной модели.
Подводя итог, отмечу, что каждая схема обладает своими преимуществами и ограничениями. Понижающие источники питания демонстрируют простоту управления и надёжность работы в непрерывном режиме, тогда как повышающие, несмотря на усложнённую схему, дают возможность повышения напряжения для специфических задач, требующих высоковольтного питания. Инвертирующие схемы, объединяя особенности обеих, обеспечивают гибкость в инвертировании и преобразовании, но требуют особого внимания к параметрам ключевых компонентов из-за высоких пиковых токов.
Современные решения в области ИИП активно применяются в качестве предварительных регуляторов и источников питания для специализированных устройств, где критично важны как эффективность преобразования, так и стабильность работы. Практическое применение данных топологий позволяет добиться оптимального сочетания простоты схемотехники и высокой производительности, что незаменимо при создании компактных и энергоэффективных систем. В целом, глубокое понимание принципов работы каждого из преобразователей служит надёжной основой для дальнейших инноваций в области импульсной электроники и управления энергией.