FNIRSI 2C23T: универсальный осциллограф для диагностики и анализа сигналов
Осциллографы незаменимы в работе с любой электроникой, поскольку они позволяют изучать быстро изменяющиеся процессы, происходящие в электронных схемах. Без них не обойтись при работе с цифровыми схемами, импульсными источниками питания, частотными преобразователями, передающей и приёмной радиотелевизионной аппаратурой.
Предлагаемый материал посвящён современному двухканальному осциллографу FNIRSI 2C23T. С его помощью можно решать большинство перечисленных выше задач, возникающих в процессе настройки, регулировки и поиска неисправностей в электронной аппаратуре.
Время чтения: 19 минут
Что такое осциллограф?
Современные осциллоскопы представляют собой сложные технические устройства, позволяющие визуализировать процессы, происходящие в электронных схемах, измерить некоторые параметры сигналов и провести их анализ. Иногда эти приборы называют осциллоскопами.
Первые такие аппараты были аналоговыми устройствами. Они обладали минимальным функционалом. На вопрос, что измеряет осциллограф аналогового типа, можно было ответить коротко: величину тестируемого напряжения и период колебания для периодических процессов. Измерения происходят только во временной области.
На сегодня аналоговые аппараты практически полностью вытеснены цифровыми приборами.
Создание первого полностью электронного осциллографа приписывают немецкому физику Карлу Фердинанду Брауну и его земляку электротехнику Йонатану Зеннеку, который модернизировал изобретение Брауна. Это событие произошло в 1899 году.
Цифровые осциллоскопы можно разделить на классические приборы и комбинированные устройства. С помощью классических одноканальных аппаратов получают информацию об основных параметрах исследуемого сигнала: амплитуде, периоде и форме.
Многоканальные измерители дополнительно обеспечивают одновременное тестирование временных соотношений между напряжениями в нескольких точках схемы. Эта возможность особенно востребована в цифровой технике.
Комбинированные устройства объединяют функции нескольких измерительных приборов, таких как мультиметр, частотомер, анализатор спектра и другие. Они обеспечивают тестирование дополнительных характеристик сигналов и их генерацию. Правда, возможности специализированных измерителей обычно более обширны, чем те, которые поддерживают комбинированные тестеры.
Полный перечень дополнительных возможностей цифровых приборов едва умещается на стандартном листе формата А4. Ключевыми функциями из этого перечня являются:
- работа в режиме мультиметра;
- измерение сигналов в спектральной области;
- возможность генерации тестовых колебаний.
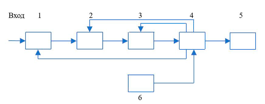
Цифрами на рисунке обозначены следующие элементы:
- 1 — канал вертикального отклонения (КВО);
- 2 — аналогово-цифровой преобразователь (АЦП);
- 3 — оперативное запоминающее устройство (ОЗУ);
- 4 — контроллер;
- 5 — дисплей;
- 6 — органы управления.
Исследуемое напряжение усиливается в канале вертикального отклонения (КВО) до необходимого уровня и поступает на АЦП. КВО строится на основе усилителя постоянного тока, который может работать в режиме открытого или закрытого входа. В первом режиме КВО пропускает как постоянную, так и переменную составляющую изучаемого процесса. Во втором режиме усиливается только переменная составляющая.
На выходе АЦП формируется последовательность кодовых слов, в которых содержатся данные об измеряемом сигнале. Эти слова фиксируются в ОЗУ. После заполнения определённого числа ячеек ОЗУ их содержимое переписывается в запоминающее устройство, входящее в состав контроллера. Каждой такой ячейке соответствует точка на экране устройства.
Режимы работы устройства задаются органами управления.
Изображение исследуемого процесса формируется на дисплее в виде графика в прямоугольной системе координат. На графике по оси абсцисс отсчитывается амплитуда колебания, а по оси ординат время.
К основным характеристикам рассматриваемых приборов относятся следующие:
- чувствительность, полоса пропускания и динамический диапазон КВО;
- диапазон скоростей развёртки;
- частота дискретизации;
- глубина памяти;
- способы запуска.
Функциональная схема цифрового аппарата больше похожа на компьютер, чем на аналоговый прибор. Поэтому такое устройство способно выполнять математические операции, для которых требуются значительные вычислительные мощности. К ним относятся исследование сигналов в спектральной области путём применения быстрого преобразования Фурье.
Обзор FNIRSI 2C23T — технические особенности
Осциллограф комплектуется двумя щупами, которые обеспечивают их фиксацию в контрольных точках тестируемой схемы, двумя щупами для мультиметра и кабелем для зарядки встроенного аккумулятора от внешнего источника с портом USB.
Щупы аппарата снабжены встроенными делителями сигнала 1:10, что позволяет сместить диапазон тестируемых амплитуд в сторону больших напряжений.
Основные технические параметры изделия в осциллографическом режиме приведены в следующей таблице.
| Параметр | Значение | Примечание |
| Количество КВО | 2 | |
| Входное сопротивление, МОм | 1 | |
| Чувствительность, мВ/дел | 20 | |
| Диапазон входных сигналов, мВ | 20 – 1 × 104 | |
| Максимальное входное напряжение, В | ±400 | При включённом делителе на щупе 1:10 |
| Полоса пропускания КВО, МГц | 10 | |
| Время нарастания сигнала в КВО, нс | не более 3 | |
| Диапазон скоростей развёртки, с | 50 × 10-9 – 10 | |
| Глубина памяти, кб | 32 | |
| Частота дискретизации, Мвыб/с | 50 | на канал |
| Разрядность АЦП, бит | 8 |
Аппарат поддерживает автоматический, обычный и одиночный виды запуска.
Комментарии к графикам в последовательности слева направо, сверху вниз:
- тестирование параметров питающей сети;
- исследование импульсного источника питания;
- оценка пульсаций питающего напряжения;
- изучение характеристик прямоугольного сигнала;
- контроль формы напряжения кварцевого генератора;
- наблюдение звуковых колебаний.
Мультиметр обеспечивает тестирование напряжения, тока, электрического сопротивления, ёмкости конденсаторов, проверку исправности диодов.
Характеристики FNIRSI 2C23T в режиме мультиметра сведены в следующую таблицу:
| Диапазоны измеряемых параметров | Значение | Погрешность | Примечание |
| Переменных напряжений, В | 0 - 750 | ±(1% + 3) | |
| Постоянных напряжений, В | 0 - 999,9 | ±(0,5% + 3) | |
| Постоянных токов, А | 0 - 9,999 | ±(1,2% + 3) | |
| Электрических сопротивлений, МОм | 0 - 99,99 | Не более ±(1,5% + 3) | |
| Электрических ёмкостей, мФ | 0 - 99,99 | Не более ±(5% + 20) | |
| Количество отсчётов | 10000 | - | 4 разряда |
Генератор функциональных сигналов (DDS) позволяет сформировать несколько видов напряжений. Характеристики изделия в режиме генератора в таблице:
| Параметр | Значение |
| Количество каналов | 1 |
| Амплитуда выходного колебания, в | 0,1 – 3,3 |
| Диапазон рабочих частот, Гц | 1 – 2 × 106 |
| Шаг сетки частот, Гц | 1 |
| Рабочий цикл, % | 0 - 100 |
Поддерживается регулировка амплитуды, скважности и частоты выходного колебания. DDS генерирует следующие формы колебаний:
- синусоида;
- меандр;
- треугольник;
- шумовой сигнал;
- постоянный ток.
В приборе реализована максимально возможная универсальность для измерителей рассматриваемого класса. Общие характеристики устройства:
| Разрешение экрана | 320 х 240 | |
| Дисплей | Диагональ 7,1 см | Тип HD |
| Интерфейсы связи с внешними устройствами | USB-C (5В, 1А), BNC — 2 шт. | Вид на интерфейсные соединители BNC показан на фото ниже |
| Ёмкость аккумулятора, мА/ч | 3000 | |
| Примерное время непрерывной работы от аккумулятора, ч | Не менее 5,5 | Без подзаряда |
| Габариты, мм | 167 х 89 х 35 | |
| Вес, г | 300 |
В изделии имеется модуль защиты от превышения входным напряжением допустимой величины.
Практические варианты применения FNIRSI 2C23T
С помощью рассматриваемого измерителя можно решать следующие задачи, возникающие при диагностике состояния и поиска неисправностей в различной радиоэлектронной аппаратуре:
- исследование временных соотношений между сигналами в разных точках электронных схем;
- изучение спектральных портретов простых и сложных сигналов;
- анализ работы цифровых шин;
- измерение амплитудных и временных свойств колебаний;
- генерацию некоторых видов тестовых напряжений;
- поддержку всех видов измерений, обеспечиваемых портативными цифровыми мультиметрами.
Рассмотрим несколько примеров практического применения осциллографа.
Проверка работы усилителя мощности
Схема, используемая для исследований, изображена на следующем рисунке.

На схеме цифрами обозначены:
- 1 — проверяемый усилитель мощности;
- 2 — аттенюатор;
- 3 — генератор тестового колебания;
- 4 — анализатор спектра;
- 5 — нагрузка.
- Устройства 3 и 4 входят в состав измерителя 2C23T.
С генератора на вход усилителя мощности подаётся гармоническое колебание заданной частоты и амплитуды.
С помощью спектрометра исследуют относительный уровень гармоник на выходе усилителя мощности. По результатам измерений вычисляют мощность основной гармоники. На основании теста и вычислений делают выводы о соответствии проверяемого объекта предъявляемым требованиям.
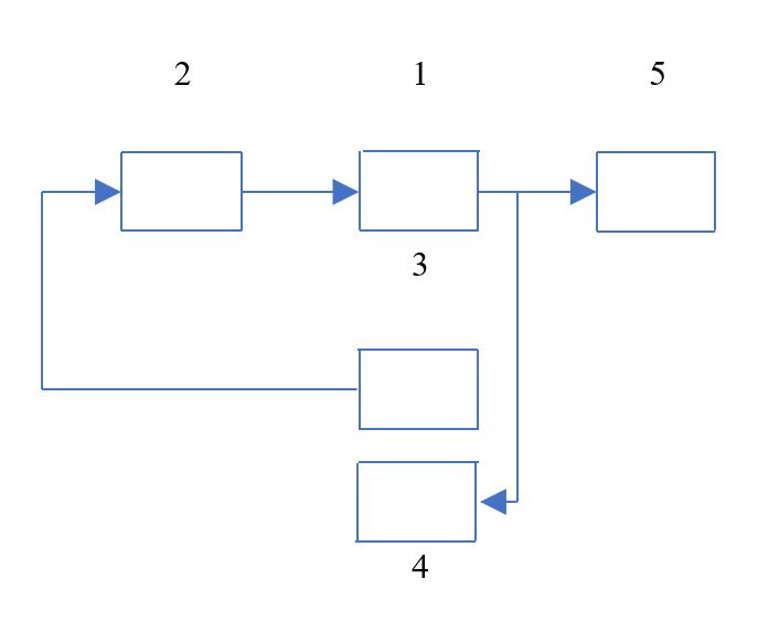
Анализ работы ШИМ в микроконтроллерах
Схема, применяемая для тестирования, изображена на рисунке внизу:

На схеме цифрами обозначены:
- 1 — регулируемый лабораторный источник питания;
- 2 — микроконтроллер;
- 3 — осциллограф 2C23T, работающий в двухканальном режиме.
С помощью лабораторного источника питания изменяют величину постоянного входного напряжения. Этот параметр контролируют одним каналом 2C23T. В другом канале отслеживают изменение скважности выходных импульсов ШИМ микроконтроллера.
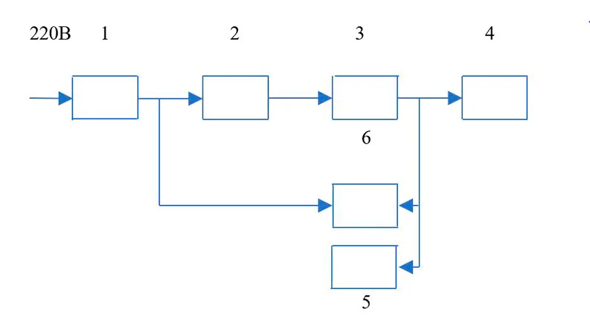
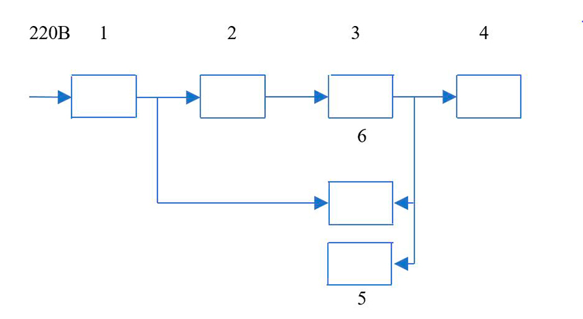
Контроль работоспособности стабилизированного источника питания при изменении напряжения питания
Схема соединения приборов изображена на рисунке.

На схеме цифрами обозначены:
- 1 — лабораторный автотрансформатор (ЛАТР), подключённый к промышленной сети 220В;
- 2 — проверяемый объект;
- 3 — амперметр;
- 4 — резистивная нагрузка;
- 5 — вольтметр;
- 6 — осциллограф 2C23T, работающий в двухканальном режиме.
С помощью ЛАТР изменяют напряжение питания тестируемого источника, величину которого контролируют одним каналом 2C23T. В другом канале отслеживают уровень пульсаций выходного стабилизированного напряжения. Вольтметр и амперметр служат для измерения параметров выходного напряжения стабилизатора. По результатам исследования делают выводы о соответствии проверяемого объекта заявленным характеристикам.
Этот пример иллюстрирует удобство использования двухканального прибора в испытаниях.
Сравнение с альтернативными моделями
Для сравнения выбраны модели компактных цифровых осциллографов одного бренда FNIRSI: бюджетный DSO-510 и профессиональный DPOS350P.
Характеристики сравниваемых устройств в осциллографическом режиме сведены в следующую таблицу.
| Параметр | Модель | ||
| DSO-510 | 2C23T | DPOS350P | |
| Количество КВО | 1 | 2 | 2 |
| Чувствительность, мВ/дел | 10 | 20 | 2 |
| Диапазон входных сигналов, мВ | 10 – 1 × 104 | 20 – 1 × 104 | 2 – 2 × 104 |
| Полоса пропускания КВО, МГц | 10 | 10 | 0,2 - 350 |
| Время нарастания сигнала в КВО, нс | Не более 3 | Не более 3 | Не более 1 |
| Диапазон скоростей развёртки, с | 50 × 10-9 – 20 | 50 × 10-9 – 10 | 50 × 10-9 – 50 |
| Глубина памяти, кб | 32 | 32 | 60 |
| Частота дискретизации, Мвыб/с | 48 | 50 | 1000 |
| Цена, руб* | 3410 | 7059 | 22730 |
*Примечание. Цены указаны на момент подготовки материала к публикации.
Сопоставление характеристик сравниваемых измерителей показывает, что по всем сравниваемым позициям лучшим является аппарат DPOS350P.
По полосе пропускания КВО и диапазону скоростей развёртки образцу DPOS350P существенно уступает осциллоскоп 2C23T.
На третьей позиции находится самый недорогой экземпляр марки DSO-510.
Параметры рассматриваемого оборудования в режиме генерации колебаний в таблице ниже:
| Параметр | Модель | ||
| DSO-510 | 2C23T | DPOS350P | |
| Диапазон рабочих частот, Гц | 0 - 50 × 103 | 1 - 2 × 106 | 0 - 50 × 106 |
| Амплитуда выходного колебания, В | 0,1 - 3 | 0,1 - 3,3 | 0 - 5 |
| Количество форм генерируемых колебаний | 14 | 7 | 14 |
| Количество каналов | 1 | 1 | 1 |
Примечание. Значение приведено только для синусоидальных колебаний. Для сигналов другой формы диапазон рабочих частот меньше.
Из таблицы следует, что наиболее функциональный встроенный генератор интегрирован в DPOS350P. Несколько худшими характеристиками обладает источник колебаний, входящий в состав продукта 2C23T.
На третьем месте находится источник сигнала изделия DSO-510. Он позволяет формировать колебания в очень узкой полосе частот.
Особенности DSO-510:
- поддерживается один КВО;
- имеется встроенный генератор;
- аппарат реализован в планшетном исполнении;
- не поддерживается возможность анализа спектра;
- отсутствует мультиметр.

Это самый бюджетный осциллограф из числа сравниваемых моделей.
Особенности DPOS350P:
- имеется два КВО;
- поддерживается режим DPO (Digital Phosphor Oscilloscope — осциллограф с цифровым люминофором) и цифровой флуоресценции;
- обеспечивается защита от перенапряжений (до 400В);
- имеется функция встроенного генератора с возможностью захвата формы сигнала;
- планшетное исполнение;
- реализованы функции логического анализатора и спектрометра;
- обеспечивается 12 типов автоматических измерений;
- отсутствует мультиметр.

Полный перечень возможностей этого продукта выходит за рамки настоящей публикации. Это самый дорогостоящий и многофункциональный аппарат из сравниваемых устройств.
Из проведённого анализа можно сделать следующие выводы:
- По совокупности технических характеристик, функциональным возможностям и цене DSO-510 можно позиционировать как лучший осциллограф для начинающих. Он может применяться для ремонта несложной электроники и в учебных целях.
- Тестер DPOS350P отличается от рассмотренных выше аппаратов лучшими метрологическими качествами и очень широким функционалом. Наличие режима DPO позволяет исследовать очень медленно изменяющиеся процессы.
- Кроме того, DPOS350P обеспечивает отображение на дисплее результатов испытаний, накопленных за длительный промежуток времени. Этот прибор хорошо подходит для решения различных инженерных и научных задач.
Однако для портативного осциллографа 2C23T характерно сочетание невысокой цены и технических характеристик, позволяющих решать большинство инженерных задач. К ним относятся настройка, регулировка радиоэлектронной аппаратуры и поиск неисправностей в ней. Возможностей измерителя достаточно для работы специалистов в области электроники и связи.
Как выбрать осциллограф: чек-лист от эксперта
Техническая возможность и целесообразность практического применения осциллографа определяется его характеристиками и стоимостью эксплуатации.
Осциллограф редко приобретается для решения узкого круга задач. Поэтому большинство радиолюбителей и специалистов отдают предпочтение многофункциональным компактным аппаратам с подходящими техническими характеристиками.
При выборе осциллографа целесообразно обращать внимание на следующие ключевые требования:
- Для чего будет использоваться устройство. Например, осциллограф для автомобильной электроники — это специфичный измеритель, поддерживающий работу с CAN-шинами, тестирование различных датчиков, диагностику систем зажигания и др. К лабораторным инструментам предъявляются повышенные требования к точности тестирования, возможности документирования и обработки результатов измерений, наличие большого количества интерфейсов связи с внешними устройствами. Ключевым из них является GPIB (General Purpose Interface Bus — интерфейсная шина общего назначения). Учебные осциллографы — это несложные и недорогие устройства, в которых имеется надёжная система защиты тестера от ошибочных подключений и перегрузок.
Требования к осциллографу для радиолюбителя у каждого энтузиаста свои. Главное из них — сочетание ценовой доступности и приемлемых параметров измерителя.
- Каков перечень минимальных требований к количеству и полосе пропускания каналов, частоте дискретизации и глубине памяти, режимам запуска, интерфейсам.
- Какие дополнительные опции предлагаются производителем.
- Какие аксессуары входят в комплект поставки и что придётся докупать отдельно.
Сформулировав ответы на эти вопросы, подготовленный покупатель сможет без труда выбрать подходящий для достижения своих целей аппарат.
Часто задаваемые вопросы
Ниже приводятся ответы на наиболее популярные вопросы (FAQ), относящиеся к описываемому измерителю.
Вопрос. Можно ли тестировать совместную работу двух разных устройств, подключённых к разным КВО осциллоскопа?
Ответ. Можно, если между точками подключения «земляных» проводников измерителя отсутствует разность потенциалов.
Вопрос. Какое время требуется для заряда аккумулятора осциллографа FNIRSI 2C23T?
Ответ. Это время зависит от степени разряда. Для полностью разряженной батареи оно составляет около 3 часов.
Вопрос. Как подключить диагностируемое устройство к прибору для анализа спектра колебаний?
Ответ. Изделие не имеет отдельного входа для анализатора спектра. Изучаемый сигнал подаётся на один из входов КВО.
Вопрос. Какие типы запуска поддерживает устройство?
Ответ. Осциллограф обеспечивает автоматический, нормальный и одиночный виды запуска.
Вопрос. Можно ли с помощью FNIRSI 2C23T исследовать сигналы, передаваемые по симметричным линиям?
Ответ. Можно. В этом случае необходимо использовать дифференциальные пробники, которые не входят в комплект осциллографа и приобретаются отдельно.
Вопрос. Как подключить измеритель к изделию Arduino?
Ответ. Такое подключение особенностей не имеет.
Вопрос. Можно ли транслировать осциллограмму и спектрограмму с экрана измерителя на внешний монитор?
Ответ. Такая возможность не предусмотрена.
Вопрос. Какие сигналы можно исследовать с использованием FNIRSI 2C23T?
Ответ. Работать можно с любыми сигналами, амплитуда и частота которых не превышает предельных значений, указанных в технических характеристиках.
Вопрос. Можно ли подавать на вход устройства сигналы с амплитудой больше предельно допустимой, используя внешний делитель напряжения с необходимым коэффициентом деления?
Ответ. Можно, но в этом случае заявленная производителем полоса рабочих частот прибора не гарантируется.
FNIRSI 2C23T представляет собой портативное двухканальное устройство, построенное по принципу «три в одном». Этот запоминающий осциллоскоп станет незаменимым инструментом для сервисных инженеров и специалистов по ремонту электронной техники. Благодаря многофункциональности и ценовой доступности он заинтересует и радиолюбителей. Аппарат может применяться в научных исследованиях и учебных целях.
Инженерам, работающим с высокочастотными устройствами и оборудованием СВЧ диапазона, понадобятся более дорогостоящие профессиональные измерители с широким частотным диапазоном.
Купить осциллограф 2C23T можно на официальном сайте Суперайс. Фирма является официальным дилером производителя техники FNIRSI в России. Поэтому магазин Суперайс предлагает своим покупателям выгодные условия приобретения товаров этого бренда. К ним относятся гарантийное и послегарантийное сопровождение, сервисное обслуживание и техническая поддержка.