Основы схемотехники радиочастотных систем. Часть 2
Радиочастотная схемотехника немыслима без радиоволн. Как гонцы служат переносчиками материальных носителей информации, такие как письма между адресантом и адресатом, так и они переносят сигналы между передатчиком и приёмником (смотри статью «Телекоммуникационные сети: история появления, разновидности»).
Гонцы — это обычные люди со свойственными нам особенностями: ограничены в дальности, устают, теряют то, что, собственно, доставляют. В одной популярной некогда песне есть слова «А тучи — как люди...», которые, тем, кто занимается радиотехникой, хочется немного перефразировать и видоизменить в «А радиоволны — как люди...». И, действительно они тоже ограничены в дальности распространения, хоть, порой, распространяются всеми мыслимыми и немыслимыми способами, но затухают, или «устают», а также подвержены разным воздействиям: помехам, мешающим передаче полезного сигнала.
Описанные факторы в основе своей зависят от особенностей распространения радиоволн конкретной частоты, поляризации и других свойств, а также от вида важнейшей части всех радиочастотных схем — антенны, — устройства для преобразования электрического тока в электромагнитные колебания — ЭМК (иначе, радиоволны) и обратно.
Вторая часть статьи посвящена основам радиосвязи: описанию физики процесса и важным аспектам, влияющим на способность к качественной передаче полезного информационного сигнала, разновидностям приёмо-передающих антенн.
Первую часть вы можете прочитать здесь.
Время чтения: 30 минут
Радиочастотная схемотехника? Это очень просто!
Основы распространения радиоволн
Здесь рассмотрим физику процесса перемещения ЭМК (радиоволн), а также важные аспекты: их пути, поляризацию и другие.
Пути распространения
Радиосвязь от передатчика к приёмнику распространяется несколькими путями. Одновременно всеми способами, но для различных частот будет характерны те или иные пути. Вот основные:
- Прямая волна — расположенная в зоне непосредственной видимости между передатчиком и приёмником. Распространяется подобно лучу света (но не совсем, подробнее ниже);
- Поверхностная волна — распространятся вдоль поверхности Земли, повторяет её контур. Возникает за счёт индуцируемых планетой токов. Распространение сильно зависимо от времени года, состава и влажности почвы и других природных факторов.
- Волна, отражённая от поверхности земли;
- Волна, отражённая от препятствия как природного (горы, облака и т. п.), так и техногенного характера (здания, сооружения, пассивные отражатели и ретрансляторы и т. п.);
- Волна, отражённая от ионосферы — верхней части атмосферы с высокой концентрацией заряженных частиц. Её приём возможен только на существенном расстоянии от передатчика (сотни и тысячи километров). Как и поверхностная, отражённая от ионосферы также распространяется в сильной зависимости от времени года, суток, погоды, солнечной активности и других природных факторов.
- Прямая волна от искусственного спутника (в случае приёма спутникового телевидения, телефонии и т. п.).
Поляризация
Плоскость поляризации волны — параллельна плоскости перемещения её электрического поля. Если плоскость электрического поля параллельна поверхности земли, то говорят о горизонтальной поляризации, если перпендикулярна — то о вертикальной. Если плоскость поляризации с постоянно и равномерно изменяющимся углом, то говорят о круговой поляризации, подразделяя их на правую и левую.
Направление распространения
Зная направление векторов электрического и магнитного полей по известному со школьных уроков физики правилу «правой руки» определяем, куда направлена радиоволна.
Распространение в зоне прямой видимости
Оптическая зона прямой видимости от наблюдателя до горизонта определяется по формуле:
, где d – расстояние до линии горизонта (километров), h – высота передающей антенны (метров).
Но для радиоволн она большей длины, чем оптическая, и рассчитывается по следующей формуле:
, где добавлен параметр K – коэффициент распространения радиоволны, равный 4/3.
Эффективное максимальное расстояние между передающей и приёмной антеннами рассчитывается по формуле:
, где учитывается в метрах как высота антенны передатчика h1, так и приёмника — h2.
Зона прямой видимости серьёзно сокращается под влиянием таких факторов, как затухание и рассеяние, поглощение в атмосфере, рефракция, отражение и т. п.
Распространение вне зоны прямой видимости
Здесь всё сильно зависит от частоты сигнала, величины его мощности, а также конкретных физических условий (дифракция, отражение от объектов: гор, строений и т. п.), наличие природных «волноводов» и т. п.). В зоне непрямой видимости перемещение формируется также переотражением радиосигнала с земли в верхних слоях атмосферы: в тропосфере и ионосфере.
Зона Френеля
Радиоволны, дифрагированные некоторыми объектами, влияют на дальность передачи от передатчика до приёмника и их мощность, даже если они напрямую не видимы. Область, в которой наблюдается эффект, называется зоной Френеля. Нахождение препятствий внутри неё сильно ограничивает дальность и качество приёма.
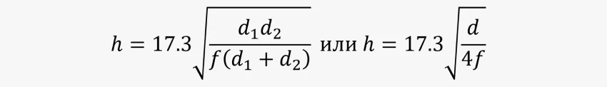
Эффект в виде эллипсоидальной области, вершины которой расположены на расстоянии, равном d, а максимальный диаметр рассчитывается (с некоторой погрешностью) по следующей эмпирической формуле:
, где h – примерный диаметр зоны (метров), d – дистанция между антеннами (километров), d1 и d2 – расстояния от приёмопередатчиков до препятствия (километров), f – частота передаваемого сигнала (гигагерц).
Затухание (ослабление)
Радиоволны распространяются далеко и с огромной скоростью. Но этот тезис справедлив для эфира абсолютного вакуума, где отсутствуют препятствия в виде элементарных частиц и молекул разных веществ. В земной атмосфере они показывают меньшую скорость, а также ярко выраженное затухание (ослабление), которое исчисляют по следующей формуле:
, где [dB] – степень затухания (ослабления) радиоволн (децибелл), f – радиочастота (мегагерц), d – расстояние между антеннами.
«Атмосферные окна»
Как было написано в предыдущем разделе, атмосфера Земли приводит к затуханию. Но её влияние сильно зависит от частоты сигнала. Длины волн, которые в конкретное время и местности проходят практически непоглощёнными, именуются «атмосферными окнами», позволяющими вести эффективную радиопередачу.
Значительно влияющим и приводящим к сильному затуханию атмосферным явлением является дождь. На частотах ниже ~10 гигагерц это выражено незначительно, но на МКВ-частотах оно становится базовым фактором, ограничивающим дальность передачи, особенно в местности с высоким уровнем осадков. Помимо затухания, дождь и другие явления, обычно вызывают деполяризацию. То есть потерю волной определённой поляризации, дополнительно усложняющей дальнюю радиосвязь.
Естественные «волноводы»
Волновод сравним с трубой, которая ограничивает ток жидкости или газа в своём объёме. Он работает аналогично, только здесь распространяются радиоволны. Атмосфера Земли при некоторых условиях принимает структуру, которая станет естественным «волноводом»: когда волна движется, она распространяется с малыми потерями на большие расстояния. Атмосфера будет действовать как гигантская труба, удерживая её внутри себя за счёт отражения от стенок «волновода» с высоким коэффициентом отражения ЭМК. Волна, попавшая в естественный «волновод», движется за пределы радиогоризонта с очень малыми потерями, создавая уровни, сопоставимые с излучённым передатчиком сигналом.
Рассеивание
Когда радиоволна падает на негладкую поверхность с плохой отражательной способностью или в среду, насыщенную взвешенными частицами (к примеру, водяного пара), она не столько отражается, сколько рассеивается. Рассеивание — это нежелательный процесс распространения во множество направлений, вызванный её взаимодействием с поверхностью с грубой шероховатостью или со средой, где много взвешенных частиц, приводящих к потере мощности и резким сокращением дальности. Рассеивание происходит, когда радиоволна взаимодействует (сталкивается) с объектами, размер которых порядка её длины или меньше.
Отражение
Происходит, когда волна взаимодействует (сталкивается) с поверхностью, площадь которой много больше её длины. Радиоволны отражаются от различных объектов, с которыми они сталкиваются за время перемещения. Степень (или коэффициент) отражения зависит от физических и геометрических характеристик объекта; например, гладкие металлические поверхности с хорошей электропроводностью — эффективные отражатели; сама поверхность Земли тоже довольно хороший отражатель. Радиочастоты отражаются не в одной точке, а от некоторой области на поверхности объекта. Размер области, необходимой для отражения, зависит от частоты и угла, под которым волна взаимодействует с объектом.
Когда радиосвязь отражается от плоских поверхностей, происходит сдвиг фазы в последовательности отражённых волн: одна из основных причин замирания — накладывание друг на друга радиоволн, сдвинутых на 180 градусов относительно друг друга, что приводит к их взаимному затуханию и потере радиосвязи.
Рефракция
Это изменение направления радиоволн при их переходе из одной среды в другую, отличающуюся проводимостью, плотностью и скоростью внутри них. Изменение направления всегда происходит в сторону среды, где меньшая скорость распространения.
Дифракция
Это способность радиоволн или видимого светового излучения огибать границы оптически- и радионепрозрачных сред, объектов и препятствий. Дифракция происходит только на границах непроницаемых тел, много большого размера по сравнению с длиной радиоволны.
Волна, встречающая препятствие, имеет естественную тенденцию огибать препятствие — дифрагировать. Отклонение из-за дифракции приводит к изменению направления части энергии от нормального пути по прямой. Это изменение позволяет принимать радиоволны вокруг краёв препятствия. Соотношение интенсивности сигнала, прошедшего без препятствия и с препятствиями называется дифракционными потерями. Они зависят от геометрии траектории и, конечно же, частоты. Интенсивность сигнала снижается на 6 дБ и более по мере приближения приёмника к границе зоны дифракции, то есть ещё до того как он войдёт в эту зону. Глубоко внутри этой зоны дифракционные потери увеличиваются порядка до 10log(f), где f – частоты сигнала. Тогда, если удвоить частоту, то глубоко внутри зоны дифракции потери увеличатся на 3 децибел. Этот эффект даёт основу общему правилу, а именно, что «длинные» радиочастоты будут иметь меньшую степень дифракционных потерь.
Многолучевое распространение
Это режим трансляции, при котором есть несколько траекторий их движения до приёмного тракта. Соответственно, будет несколько дошедших до приёмника волн. Здесь помимо основной, распространяющейся в зоне прямой видимости, будут поверхностные; образованные ионосферной рефракцией; переотражением ионосферными слоями (причём не одним); отражением от поверхности Земли или от крупных объектов, например, гор и других. Логично, что длины путей траекторий распространения не равны и способны на порядок отличаться, что вкупе с фазовыми искажениями приводит к ухудшению радиоприёма или полной его невозможности.
Если две волны достигают приёмника в одинаковой фазе (два сигнала находятся в одних точках волнового цикла), то совокупный радиосигнал усиливается. Если же они достигают приёмника не в фазе (находятся в различных точках цикла), то он будет сильно ослаблен. Если фазы отличаются на 180 градусов, когда они достигают приёмника, они способны полностью подавить друг друга, и совокупный сигнал будет отсутствовать. Область приёма, где он таким образом нейтрализуется многолучевым распространением, называется областью замирания.
Негативные эффекты:
- Несколько копий сигнала приходят в разное время и в разных фазах радиоволн, пришедших по различным траекториям;
- Если фазы отличаются, то общий уровень сигнала относительно шума снижается, что вызывает снижение коэффициента «сигнал/шум» и ухудшение радиоприёма;
- В то время как при передаче аналоговых сигналов есть риск ухудшения качества приёма, то при передаче дискретных (цифровых), вследствие различного времени приёма волн, содержащих один и тот же полезный сигнал, возможен сбой правильности работы протоколов передачи данных и общая потеря связи.
Замирание
Так называется кратковременное изменение амплитуды или фазы радиоволны, приводящее к потере возможности радиосвязи ввиду многолучевого распространения (в конкретном случае, ввиду многолучевого приёма).
- Мгновенное замирание происходит, когда время когерентности канала связи (интервал времени, на котором не меняется характеристика канала связи) меньше относительного времени задержки. Мгновенное замирание вызывает быстрые колебания амплитуды и фазы сигнала, если передатчик или приёмник движутся, либо происходит изменение характеристик эфира (например, появляется движущееся препятствие на пути). Когда приёмо-передающие устройства движутся, флуктуация происходит в пределах нескольких длин. Из-за скоротечности мгновенное замирание считается мелкомасштабным явлением и, в общем, не приносит проблем. Возникает из-за того, что напряжённость электромагнитного поля (ЭМП) в месте приёма — результат интерференции многих волн, переотражённых от множества меняющихся поверхностей и сред.
- Медленное замирание возникает, когда время когерентности больше относительного времени задержки. Медленное замирание происходит из-за геометрии траектории. Является крупномасштабным явлением, приводящим к флуктуации уровня мощности и качества радиоприёма, вплоть до полной невозможности. Имеют сильную зависимость от изменений метеорологических условий, времени года и времени суток.
Разнесение
Замирание сигнала — серьёзная проблема дальнего радиоприёма. Наиболее эффективным решением, призванным к борьбе с замиранием, является разнесение того или иного рода. Если кратко, то при разнесении полезный сигнал поступает в приёмник в виде двух или более нескоррелированных, один из которых, скорее всего, будет содержать его в неискажённом виде и достаточного для дальнейшего преобразования уровне.
- Частотное разнесение. При частотном разнесении излучается сигнал двух или более различных длин волн (частот). Так как характеристики распространения радиоволн, в том числе многолучевое, имеет зависимость от длины, то выходит, что при одновременной передаче на нескольких различных частотах маловероятно одновременное замирание на всех из них.
- Пространственное разнесение. Часто причиной замирания является точка расположения приёмной антенны: если она расположена точно в «неправильном месте», то оно обеспечено. Тогда наиболее эффективным методом будет пространственное разнесение на две или более антенные установки, смонтированные в различных точках, вероятность одновременного замирания в которых будет исключена.
- Угловое разнесение. То же, что и пространственное разнесение, но антенны расположены довольно близко друг к другу, и имеют различный угол поворота или наклона.
- Поляризационное разнесение подразумевает одновременную передачу сигналов с различной поляризацией (например, горизонтальной и вертикальной) в надежде, что она из них будет менее подвержена замиранию в конкретный момент времени, нежели другая (другие).
- Временно́е разнесение. При такой разновидности разнесения полезный сигнал передаётся несколько раз в разные периоды.
Распространение внутри строений
Важна радиопрозрачность строительных материалов:
- Коэффициент отражения материала обуславливает степень проникновения радиоволн внутрь толщи стены или перекрытия. Коэффициент отражения должен быть минимальным.
- Радиоволна, проходя внутри материала, будет затухать. Высокая степень затухания часто приводит к невозможности приёма.
- Материалы с электроизоляционными свойствами имеют высокую радиопрозрачность.
- Материалы с отличными электропроводящими свойствами имеют низкую радиопрозрачность и высокий коэффициент отражения.
Прослеживается сильная зависимость от топологии и конструкции здания:
- Радиоволны отлично отражаются от плоских электропроводных плоскостей большой площади: металлические обшивки, жестяные крыши, фольгированный гипсокартон, остекление с металлизированным антибликовым напылением и т. д.
- Электропроводные элементы малой площади, но имеющие длину более половины длины волны такие как электрическая проводка, трубы, стальной каркас — источники вторичного переизлучения (пассивная ретрансляция).
- Радиоволны сильно поглощаются влажными материалами, такими как цемент, бетон, а также телами людей.
- Перемещение людей внутри здания дополнительно вносит склонность к многолучевому распространению и дополнительному затуханию до 10 децибел.
- Здания, имеющие внутри металлические перегородки и проходы вносят дополнительное затухание и задержку до 300 наносекунд.
- Межэтажные перекрытия из железобетона в меньшей степени влияют на затухание, нежели перекрытия, содержащие сплошной стальной слой, к примеру, несъёмная опалубка из профилированного стального листа или фальшполы, выполненные из металлических плит.
- Металлизированные антибликовые стёкла окон вносят затухание до 15 децибел на первом этаже строения, до 10 децибел на втором этаже и до 2 децибел на каждом последующем этаже.
- Здания открытой планировки с небольшим количеством капитальных перегородок и остеклением большой площади вносят меньшее затухание, нежели здания классической компоновки с толстыми каменными и кирпичными стенами в совокупности с небольшими окнами.
- Дополнительным «источником» затухания является крупная мебель и техника.
Приёмо-передающие антенны
Базовое понятие
Антенной называется радиотехническое устройство для преобразования электротока высокой частоты в испускаемые ей ЭМК, и для обратного преобразования принятых ЭМ-колебаний в высокочастотный ток. Её главное назначение — поддержание беспроводного канала связи между двумя радиочастотными устройствами. К функционалу также относится усиление излучаемого и принимаемого сигнала, поддержка нужной диаграммы направленности, частотной и поляризационной селективности.
Несмотря на кардинальное и принципиальное различие электроники как науки во времена активной работы пионера беспроводной связи Генриха Герца и электроники нашего времени, антенны, по сути, не претерпели какого-либо значительного изменения и, в общем-то, за 150 лет своего развития принципиально остались таким же.
Антенну можно сделать из колебательного контура, образованного параллельно включёнными катушкой индуктивности и конденсатора. Если пластины конденсатора «развернуть», а катушку индуктивности «растянуть» и уменьшить её индуктивность до индуктивности обычного проводника, то в итоге получается традиционная дипольная антенна (смотри рисунок выше).
Антенна — важнейший элемент любой системы радиопередачи и приёма, поскольку действует как звено приёмо-передающего тракта. Поэтому общая эффективность радиопередачи существенно зависит от эффективности и продуманности передающих и приёмных антенных устройств.
Конечно, даже передовые конструкции всё ещё выглядят похожими на свои прообразы времён «бурной молодости» Генриха Герца. Однако сегодня они требуют решения наукоёмких задач по их грамотному проектированию и оптимизации для решения конкретной задачи. Радиофизика первоочерёдно стремится разработать модели, которые преобразуют электрический ток в ЭМК (и обратно) с минимальными потерями. Это требование менее важно в случае проектирования специальных видов антенных устройств, к примеру, измерительных для работы в составе измерительного оборудования для определения напряжённости ЭМП; вместо сложных работ по обеспечению эффективного преобразования тока в волны (и обратно) требуется лишь знать их физические характеристики.
Основные характеристики антенн
Как упоминалось, они выполняют функцию преобразования электротока в ЭМК. Направление преобразования не имеет значения для понимания принципа работы. Поэтому и передающую, и приёмную стоит рассматривать одинаково (по принципу взаимности), и их параметры аналогичны. Это применимо даже в том случае, если некоторые измеряются только при передаче или только при приёме, или если их спецификация представляется значимой только для одного из этих режимов. Активные антенны — единственное исключение: будучи чисто приёмными, они не имеют «передающего» аналога. Ещё нужно проводить чёткую границу между передающими и приёмными, если, например, требуется учитывать максимальную мощность передатчика. Однако и это не важно при рассмотрении общих характеристик и принципа работы. Рассмотрим лишь основные характеристики.
Плотность излучения
Самая простая воображаемая антенна — это изотропный излучатель, который не существует на практике, но это прекрасная теоретическая модель. Изотропный излучатель, являющийся безразмерной точкой в пространстве, излучает волны со сферическими волновыми фронтами, которые излучаются равномерно во всех направлениях. Когда к нему применяется идеально согласованная мощность передатчика P, то на расстоянии r это приводит к плотности излучения:

, где P – подведённая мощность, r – радиус сферы.
Плотность излучения реальных (то есть неидеальных) антенн различна в различных направлениях. Обусловлено это их физической конструкцией и условиями задач, которые должны быть выполнены.
Диаграмма направленности
Это то, в каких направлениях антенная сборка имеет максимальную плотность ЭМК-излучения. Как было описано в предыдущем разделе, только идеальный изотропный излучатель будет демонстрировать одинаковую плотность излучения в каждом пространственном направлении. Но такой излучатель не реализуем на практике для любой указанной поляризации и поэтому подходит лишь в качестве модели и стандарта сравнения. Даже простые дипольные и монопольные модели имеют направленность. К примеру, дипольная в свободном пространстве имеет трёхмерную торообразную диаграмму с чётко выраженными минимумами в направлении своей оси:
Коэффициент направленного действия (D)
Он определяется как отношение интенсивности излучения Fmax в главном направлении к интенсивности излучения Fi, изотропного излучателя без потерь с той же излучаемой мощностью Pt:
Коэффициент усиления (G)
Он соответствует рассмотренному выше параметру, но используется в отношении входной мощности:
Коэффициент использования поверхности (Aw)
Это мера максимальной принимаемой мощности Pr(max), которую приёмная антенна способна принять из плоской волны с плотностью излучения S:
Входной импеданс
По другому, входное сопротивление Z определяется отношением напряжения к силе тока. Он складывается из активной составляющей сопротивления элементов и реактивной, зависящей от частоты тока:
Активная составляющая R, в свою очередь, складывается из сопротивления излучения RΣ и потерь RΠ:
, где RΣ – коэффициент, который связывает квадрат силы тока с мощностью, излучённой в виде радиоволны RΣ, RΠ — связывающий его же с мощностью потерь RΠ.
Коэффициент полезного действия
КПД η передающей антенны — это отношение мощности, излучённой RΠ к подводимой P0:
КПД имеет взаимосвязь с коэффициентами D и G:
Коэффициент стоячей волны (КСВ)
В передающей системе «передатчик-фидер-антенна» так называют соотношение амплитуд напряжённости (АН) ЭМП падающих и образованных вторичным переотражением радиоволн:
, где Ainc – АН ЭМП падающей волны, Aref – АН ЭМП отражённой волны.
КСВ есть мера согласованности линии передачи (фидера) и нагрузки (антенны). Идеальная передающая система «передатчик-фидер-антенна» не имеет вторичного переотражения (падающая волна полностью излучается): КСВ такой системы равен 0.
КСВ обратно пропорционален коэффициенту бегущей волны (КБВ) ранее использовавшемуся повсеместно.
Разновидности антенн
В разделе описаны основные конструктивные разновидности приёмо-передающих антенных устройств, а также описаны их особенности и применяемость.
Проволочные антенны
Мы очень хорошо знакомы с ними, поскольку видим практически везде: на радиоприёмниках, автомобилях, зданиях, кораблях, самолётах и т. д. Они бывают разных форм, включая прямые, рамочные (петлевые), спиральные и многие другие.
Короткая дипольная
Диполь — это самый простой вид проволочной антенны, которая, по сути, является развёрнутым колебательным контуром. Короткие диполи имеют длину меньше, чем классические полуволновые. Применяются в различного рода радиочастотном лабораторном и измерительном оборудовании.
Дипольная
Классический полуволновый диполь — наиболее востребованный, так как модели других типов базируются на нём. Наряду с изотропным излучателем рассматривается как эталонный.
Конструктивно состоит из двух электропроводящих фрагментов (проводов, стержней или трубок); длина каждого фрагмента равна четверти длины λ/4. Таким образом совокупная длина равна половине длины волны λ/2. Имеет коэффициент усиления в 1.5 раза выше, чем у изотропного излучателя. Применяются практически во всех видах радиосвязи.
Рамочная (петлевая)
Она состоит из одного или нескольких витков провода, образующих петлю. По характеристикам близка к короткой дипольной. Изготовить её проще остальных. Ранее применялась для приёма сигналов радиовещания и телевидения и в любительской радиосвязи; сейчас множество систем радиочастотной идентификации (RFID) применяют только её.
Монопольная (штыревая)
Это частный случай дипольной, а если быть точнее, половиной диполя. Имеет худшие характеристики, но ввиду крайней простоты и доступности исполнения применяется всюду. Например, для приёма УКВ-радиовещания, а также в различного рода системах радиосвязи и радиоуправления.
Апертурные
В них радиоволны формируются в объёме, а излучение — через специальное отверстие, называемое апертурой. Эти типы сегодня более популярны, чем в прошлом. Есть немало модификаций: пирамидальный, конический рупор или прямоугольный волновод. Применяются для узконаправленной связи с далеко расположенными объектами, такими как самолёты, космические корабли, спутники связи и т. п.
Микрополосковые
Они стали активно эксплуатироваться с 1970-х годов в военной и аэрокосмической отрасли. Сегодня встречаются и в гражданском применении.
Технология их расчёта и проектирования сложна, но простота и с малыми затратами на изготовление покрывает этот недостаток. Устройства представляют собой печатную плату (или её часть) с дорожками и областями особой конфигурации. Бывает множество витиеватых форм, которые сильно отличаются от простых прямоугольных или круглых, наиболее популярных из-за простоты анализа и изготовления и их привлекательных характеристик излучения, особенно низкого перекрёстного поляризационного излучения. Есть почти во всей современной мобильной технике.
Антенные решётки
Большинство высокопроизводительных систем связи требуют характеристик излучения, которые не достигаются с помощью одного элемента. Для этого применяют особым образом сконфигурированные массивы антенн одно типа, называемые антенные решётки. Высокочастотный сигнал подаётся на все элементы такой антенны как в одной фазе, и тогда происходит суммирование излучения всех элементов в один мощный луч, а также с разной фазой, для изменения диаграммы направленности в целом. Модели такой конструкции называются фазированными антенными решётками. Их элементами выступают как диполи, так и апертурные, микрополосковые, рупорные и другие типы. В гражданских отраслях практически не применяются, за исключением систем высокопроизводительной радиосвязи, но широко применяемы в военных системах радиолокации и радионаведения.
Рефлекторные
Они хорошо известны практически всем. Обычная «тарелка» для приёма спутникового ТВ является простейшим представителем этой разновидности. Нынешние модели встречаются очень сложной формы и с комплексом приёмо-передающего оборудования, а нужны исключительно для дальней космической радиосвязи и радиоастрономии. Таким образом, это бывает огромное стационарное сооружение с комплексом зданий, для решения одной конкретной цели. И эта конкретная «цель» (к примеру, космический зонд) находится за миллионы километров от Земли. В гражданской отрасли применяются для связи со спутниками связи, расположенными на околоземной орбите.
Линзовые
Они наиболее трудные в конструировании и изготовлении. Их основа — радиочастотная линза (подобной оптической), созданная для фокусировки и изменения направления фронта волн. Диаграммы направленности изменяется за счёт разности фазовых скоростей в воздухе и материале линзы. Конструктивно линза — совокупность металлических элементов, заключённых в высококачественном искусственном диэлектрике, таком как фторопласт, тефлон и подобным. Пока они ещё не находят массового применения, ввиду сложностей их реализации, но применяются в качестве элементов фазированных антенных решёток в военных радарах.
Читайте продолжение статьи в третьей части!
Радиочастотная схемотехника — это не только про диоды, транзисторы и микросхемы: прежде всего это радиоволны. Эта невидимая и неосязаемая материя имеет большую энергию и со световой скоростью преодолевает любые расстояния. Но чтобы «обуздать» радиоволны и «оседлать» их полезным сигналом, который они доставят в любые уголки вселенной, важно понимать принципы их распространения, как они формируются из электрического тока и как из них вновь получить электроток после принятия. И, конечно, как работает антенна – не такое простое устройство, хоть и выглядящее крайне примитивно.