Эффект «отрицательного сопротивления» в DC-DC преобразователях

Эффект «отрицательного сопротивления» в DC-DC преобразователях

Эффект «отрицательного сопротивления» в DC-DC преобразователях
Автор: Академия Суперайс
3.8K

Если DC/DC преобразователь не работает, и при этом отсутствуют очевидные дефекты устройства, то проблема вполне может заключаться в появлении отрицательного дифференциального сопротивления. Решение данной ситуации требует анализа и согласованности работы всей цепочки «источник питания – DC-конвертер – потребитель».

Время чтения: 9 минут

Довольно частая и вполне ожидаемая обыденная ситуация, когда, приобретая преобразователь постоянного тока (ППТ) оказывается, что он прекрасно работает. Это естественно, и является привычной нормой. К сожалению, также нередко можно столкнуться с тем, что преобразователь не работает должным образом. В таком случае приходится искать причину неисправности и соответствующее ей решение.

Вполне вероятно, что решение может быть невероятно простым: устройство не подключено к сети, у него не включена подача электропитания или же просто перегорел входной предохранитель. В такой ситуации большинство распространённых проблем достаточно легко обнаружить и устранить.

При использовании импульсных источников питания (ИП), с постоянным током (DC) на входе, дело обстоит несколько сложнее. Всё подключение выполнено правильно, основные дефекты обнаружены, устранены или отсутствовали изначально. Однако преобразователь по-прежнему не выдаёт нужного уровня электрического потенциала на выходе.

В подобных случаях проблема может крыться во взаимодействии ППТ с источником электропитания. При наличии определённой величины импеданса выходная электродвижущая сила (ЭДС) DC-конвертера будет иметь значительную переменную составляющую. При этом на входе в ППТ также будет иметься заметная переменная составляющая.

схема dc dc
Схема типичного применения DC-DC преобразователя

Теория проявления эффекта

Для понимания принципа возникновения эффекта отрицательного сопротивления вначале рассмотрим потребителя, подключённого к выходу DC конвертера, и характеризующегося собственным не изменяющимся импедансом. Если импеданс нагрузки постоянен, то подводимая к ней мощность, также не изменяется, поскольку выходное напряжение DC-преобразователя также будет неизменно. Это также означает постоянство потребления энергии DC/DC конвертером.

В результате мы имеем неизменную выходную мощность для потребителя, а также стабильное потребление энергии DC-конвертером, независимо от приложенного к нему потенциала. Также это означает стабильную эффективность преобразователя. Ситуация, когда нагрузка остаётся неизменной, даже при значительных колебаниях напряжения – очень любопытна.

схема подключения dc dc
Схема нагрузки с постоянным импедансом, подключённой к DC-DC конвертеру

Может ли быть сопротивление отрицательным? На самом деле – да, но с определёнными оговорками. С положительным значением этого параметра мы знакомы и вполне можем его представить. Его наличие в цепи, согласно закону Ома, приводит к возникновению электротока определённой величины. В таком случае возможно ли появление отрицательного значения тока? Давайте во всём этом разбираться.

закон ома
Закон Ома для участка электроцепи

В классическом понимании законов электротехники все параметры электроцепи связаны. Рост приложенного напряжения ведёт к росту электротока, а снижение напряжения, – соответственно, к уменьшению электрического тока.

Однако использование нагрузки с постоянным импедансом приводит к другому результату.

Так, при увеличении входного напряжения, подаваемого на DC-DC-преобразователь, входной электроток, наоборот, будет снижаться, а при уменьшении ЭДС на его входе – увеличиваться. Связано это с тем, что при динамическом изменении параметров на входе учитываются дифференциальные значения электротока и напряжения. А из-за особенности нагрузки, их значения изменяются в противоположных направлениях, друг относительно друга.

рисунок вольт амперной характеристики
Вольт-амперная характеристика, отражающая изменения различных форм резистивности

Что такое дифференциальное сопротивление?

В неустойчивых системах, когда, в целях стабилизации параметры питания устройства непрерывно корректируются и изменяются, оперируют бесконечно малыми приращениями, их ещё называют – дифференциальными величинами.

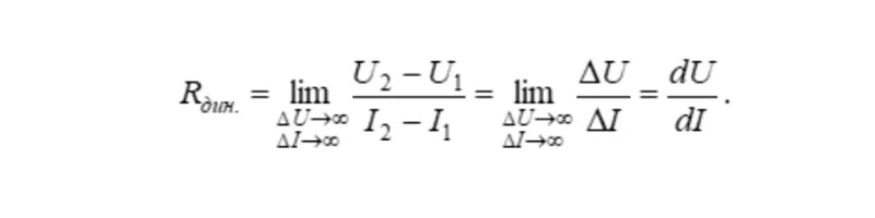
расчет дифференциального сопротивления
Математическое решение описывающее принцип получения дифференциального сопротивления

Опираясь на математическое решение, не может появиться никакой отрицательный ток в цепи. Получение же отрицательного дифференциального сопротивления (ОДС) обусловлено особенностью ППТ, которая проявляется в уменьшении одного из учитываемых в расчёте параметров, на фоне роста другого.

Автоколебания

Вначале разберёмся с поведением классической цепи, состоящей из конденсатора (C) и индуктивности (L).

Если в LC-цепь подать электроэнергию, то она будет поочерёдно переходить от одного электронного компонента к другому. При этом в зависимости от типа элемента, энергия будет периодически изменять свой вид. Вначале она будет находиться в виде электрического поля, накапливаемого в конденсаторе, а затем преобразовываться в магнитное поле катушки индуктивности, затем обратно в электрическое поле. Этот процесс сопровождается появлением на каждом из элементов, синусоидального напряжения, и такого же синусоидального электротока, протекающего между ними. Такая система соответствует поведению автоколебательного контура и теоретически может функционировать бесконечно.

автоколебательный контур
Схема идеального LC контура (слева) и соответствующая форма сигнала на выходе (непрерывная синусоида)

В реальных электроцепях, помимо ёмкости и индуктивности, присутствует паразитная резистивность. Она обусловлена особенностями самих элементов, а также наличием в соединяющих их проводах собственной активной составляющей. Этот паразитный резистор непрерывно рассеивает циркулирующую между электронными компонентами энергию, что ведёт к постепенному ослаблению и последующему прекращению колебаний.

rlc цепи
Схема RLC-цепи (слева) и соответствующая её функционированию форма сигнала (затухающая синусоида)

Влияние ОДС на генерацию автоколебаний

Если в RLC-цепь добавить ОДС, то оно вполне может нивелировать положительную составляющую. В этом случае образуется электроцепь с нулевой эквивалентной резистивностью. При этом затухания генерируемых автоколебаний не произойдёт. Источником ОДС в нашем примере выступает DC-конвертер. Его присутствие в цепи с ёмкостью и индуктивностью компенсирует паразитные составляющие элементов.

колебания в цепи
Схема цепи RLC, обладающей отрицательной и положительной активной составляющей (слева) и соответствующий ей генерируемый сигнал (непрерывная синусоида)

Источником ёмкости и индуктивности любой цепи могут быть как физические электронные компоненты, преднамеренно размещённые на плате, так и генерируемые паразитно. Они могут синтезироваться благодаря выходному импедансу источника питания, а также входным импедансом конвертера постоянного электротока.

Это ведёт к тому, что синтезируемое ОДС, а также другие реактивные составляющие будут иметь переменные параметры, которые сильно завесят от режима и условий работы всей системы.

Поэтому одна из основных проблем подобных электроцепей заключается в том, что трудно с достаточной точностью смоделировать всю систему, чтобы оценить, при каких условиях её работы возникнут эффективные автоколебания. Другая сложность в этой ситуации – это, что колебания могут возникать только при определённых условиях работы всей системы, а при отклонении от них автоколебания будут исчезать.

Гашение автоколебаний

Предсказать условия работы, способствующие возникновению автоколебаний, достаточно непросто. Однако если существует необходимость их погасить, то сделать это сравнительно легко. Добиться этого можно включением добавочного резистора между выходом ИП и конвертером. Чаще всего рассматривают два варианта добавления размещения резистора:

  • Последовательное включение резистивного элемента;
  • Включение резистивного элемента параллельно.

К сожалению, выбор любого из этих методов приведёт к тому, что рассеиваемая этим компонентом мощность, окажется слишком большой, чтобы быть приемлемой. Поэтому чаще всего прибегают к третьему методу, которое, заключается в том, чтобы включить дополнительный компонент, предназначенный для работы в электроцепи переменного тока (AC).

Преимущество такого метода заключается в том, что добавочный электронный компонент воздействует только на переменные сигналы. При этом никакого влияния на постоянную составляющую он не оказывает, как и на интенсивность потребления. Одним из способов реализации третьего метода считается размещение электролитического конденсатора с большой ёмкостью (от десятков до сотен микрофарад, в зависимости от уровня передаваемой мощности). При этом он должен располагаться как можно ближе к контактам DC конвертера.

конденсаторы разные
Существующее разнообразие конденсаторов

Эквивалентное последовательное сопротивление (от англ. Equivalent Series Resistance – ESR) конденсатора, подключённого в переменную электроцепь, как раз и служит для рассеивания энергии различных осцилляций. Его величины вполне достаточно для предотвращения образования большинства паразитных осцилляций, при этом он не рассеивает энергию, связанную с прохождением постоянной составляющей.

ESR конденсатора
Электрохема участка электроцепи с включённой в неё ёмкостью, обладающей ESR (слева) и результирующая осциллограмма сигнала

ESR размещаемой ёмкости должен быть достаточно небольшим, чтобы не существенно влиять на величину рассеиваемой избыточной мощности. При этом он должен быть достаточным, чтобы эффективно гасить автогенерируемые колебания.

Наибольшее распространение получили электролитические конденсаторы. Они имеют необходимую величину ESR для использования в наших целях. При этом следует учитывать, что их низкая цена – это не тот показатель, на который нужно опираться в первую очередь. Зачастую их невысокая стоимость – это показатель слишком высокого ESR, а это чревато чрезмерным рассеиванием мощности. Также нужно помнить, что слишком дорогие электролитические, плёночные и керамические конденсаторы могут обладать слишком низким значением ESR, чтобы должным образом гасить осцилляции.

В некоторых случаях стабильная работа связки «источник питания – потребитель» может быть нарушена по причине возникновения явления самовозбуждения или автоколебательного процесса. Некорректная величина результирующего импеданса, обусловленная появлением на входе отрицательного дифференциального сопротивления, снижающим устойчивость работы всей системы.

В данной статье мы подробно рассмотрели причины возникновения ОДС, а также практические способы, позволяющие снизить образование автоколебательных импульсов.


Понравилась статья? Поделитесь ей в ваших социальных сетях:
Диагностика проблем питания: как найти просадки, пульсации и шум
Не работает блок питания? Статья магазина Суперайс поможет разобраться с неисправностями легко и просто
Диагностика проблем питания: как найти просадки, пульсации и шум 244
Диагностика проблем питания: как найти просадки, пульсации и шум
Источники питания MAISHENG: для профессионалов и не только
Рассказываем про бренд MAISHENG, серии блоков питания и их выбор в статье магазина Суперайс
Источники питания MAISHENG: для профессионалов и не только 314
Источники питания MAISHENG: для профессионалов и не только
Типовые неисправности блоков питания и способы их устранения
Какие специфические дефекты есть у импульсных и аналоговых блоков питания в статье Суперайс
Типовые неисправности блоков питания и способы их устранения 8.9K
Типовые неисправности блоков питания и способы их устранения